neal young / Young25Improved

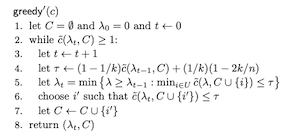
  • publication/Young25Improved.png We give a polynomial-time approximation algorithm for the (not necessarily metric) \(k\)-Median problem. The algorithm is an \(\alpha\)-size-approximation algorithm for \(\alpha < 1+2\ln(n/k)\). That is, it guarantees a solution having size at most \(\alpha\times k\), and cost at most the cost of any size-\(k\) solution. This is the first polynomial-time approximation algorithm to match the well-known bounds of \(H_{\Delta}\) and \(1+\ln(n/\textsf{opt})\) for unweighted Set Cover (a special case) within a constant factor. It matches these bounds within a factor of 2. The algorithm runs in time \(O(k\,m\log(n/k)\log m)\), where \(n\) is the number of customers and \(m\) is the instance size.

© Copyrights are reserved by the publishers.
Download for personal and limited academic use only.